
Фильтр
Бактерии попадают в мозг через блуждающий нерв
В статье, опубликованной в журнале PLOS Biology, обнаружили, что живые бактерии могут напрямую перемещаться из кишечника в головной мозг, используя блуждающий нерв в качестве транспортного канала. Credit: Manoj Thapa, et al. / PLOS Biology 2026 Cвязь между желудочно-кишечным трактом и мозгом – одна из самых жарких и активно развивающихся нейронаучных тем в последнее десятилетие. Исследователи уже подтвердили, что состав микробиома кишечника влияет на развитие нейродегенеративных заболеваний, типа болезни Альцгеймера и Паркинсона, влияет на развитие тревожного расстройства. До нынешнего момента считалось, что бактерии кишечника взаимодействуют с мозгом не напрямую, а через метаболиты (нейромедиаторы вроде серотонина или дофамина, а также токсины, которые всасываются в кровоток и уже через кровь влияют на мозг), либо взаимодействуют с клетками иммунной системы, которые находятся в стенке кишечника. Доказательств прямой миграции живых микроорганизмов (бактерий) в центральную нервную систе
Показать еще
- Класс
Новый бесконтактный метод исследования сосудов способен «увидеть» работу глубоких артерий мозга
Впервые ученые смогли экспериментально доказать, что разработанный ими «зеленый фонарик» для сосудов — метод визуализирующей фотоплетизмографии (ВФПГ) — способен заглянуть глубоко в живые ткани и помочь в сложных медицинских случаях, в том числе при хирургических операциях. Метод регистрирует пульсовые изменения не только в поверхностных сосудах, но и в глубоких церебральных артериях. Результаты работы, поддержанные грантом Российского научного фонда, опубликованы в журнале Frontiers in Physiology. Эксперимент на мозге лабораторной крысы проводит Алексей Соколов, доктор медицинских наук, доцент, заведующий лабораторией экспериментальной фармакологии и терапии боли Института фармакологии им А.В. Вальдмана Санкт-Петербургского государственного медицинского университета имени И.П. Павлова. Источник: пресс служба ИАПУ ДВО РАН. Во время фотоплетизмографического исследования видеокамера улавливает малые изменения тона кожи, вызванные пульсацией крови. Метод представляет большой интерес для м
Показать еще
- Класс
Позитивный настрой усилил иммунный ответ
Международная группа ученых из Израиля и США провела настоящее клиническое исследование для подтверждения эффекта, подобного плацебо – если человек сознательно настраивается на позитив (используя метод биологической обратной связи), усиливается выработка антител после прививки. Секрет кроется в активации системы вознаграждения мозга. Исследование опубликовано в журнале Nature Medicine. Credit: Nitzan Lubianiker et al. / Nature Medicine 2026 Наверняка вам не раз говорили, что позитивный настрой и вера в выздоровление (знаменитый эффект плацебо) творят чудеса. Возможно, вы даже ощущали это на себе. Но что при этом происходит в мозге, долгое время оставалось загадкой. Ученые предположили, что ключевую роль здесь играет дофаминергическая система поощрения, а именно ее центр – вентральная область покрышки (ВОП). В двойном слепом рандомизированном исследовании приняли участие 85 здоровых добровольцев (средний возраст – 25 лет). Ученые разделили их на три группы и использовали функциональную
Показать еще
Век живых систем: почему будущее технологий определяется нейронауками
Сегодня на нашем портале – необычный жанр. Андрей Иващенко, соруководитель рабочей группы Нейронет НТИ в период 2015-2025 гг, председатель совета директоров ГК «ХимРар» в своей колонке решил рассказать о первых десяти годах «Нейронета» и о своем видении итогов этого десятилетия. Разработка Национальной Технологической Инициативы началась с поручения Президента России В. В. Путина по реализации послания Федеральному Собранию от 4 декабря 2014 года. Значительный вклад в её формирование внесли Дмитрий Песков (генеральный директор АНО «Платформа Национальной технологической инициативы»; специальный представитель Президента Российской Федерации по вопросам цифрового и технологического развития) и Андрей Ремович Белоусов (на тот момент Первый заместитель председателя правительства Российской Федерации). Замысел НТИ родился из простого наблюдения: отраслевые объединения, решая тактические задачи, системно не занимаются долгосрочным планированием. Я хорошо это знаю по фармацевтической отрасли.
Показать еще
- Класс
Почему у исследований аутизма бывают разные результаты?
Ученые Центра исследований интеллекта и когнитивного благополучия НИУ ВШЭ провели первый систематический анализ научных работ, посвященных особенностям восприятия эмоций по движениям при аутизме. Анализ показал, что различия между аутичными и неаутичными людьми во многом зависят от того, как именно устроен эксперимент и какие задачи предлагаются участникам. Результаты опубликованы в журнале Research in Autism. Распознавание эмоций — сложный процесс, критически важный для успешного социального взаимодействия. У людей с расстройствами аутистического спектра (РАС) он может быть затруднен из-за особенностей сенсорного, моторного и социального профиля. При этом если восприятие эмоций по лицу и голосу изучено относительно хорошо, то распознавание эмоций по движениям тела (по походке, наклону головы, позе или жестам) — значительно менее исследованная область. В одних работах авторы указывали на существенное снижение способности распознавать эмоции по движениям при РАС, в других отмечали, что
Показать еще
- Класс
День в истории мозга: Бернард Кац
115 лет назад в Лейпциге родился будущий великий британский физиолог сэр Бернард Кац. Некоторые современные исследователи называют Каца одним из величайших нейробиологов ХХ столетия.
Потрясающий экспериментатор сумел показать, что нейромедиаторы выбрасываются в синаптическую щель «квантами», порциями примерно по тысяче молекул.
Много позже Томас Зюдофф за исследование того, как эти кванты-везикулы транспортируются в нервных клетках, получит Нобелевскую премию. Получил свою «нобелевку» и Кац - в 1970 году.
О сегодняшнем имениннике читайте завтра в рубрике «История нейронаук в биографиях».
#деньвисториимозга
Показать еще
- Класс
Избыток глюкозы может помочь защитить головной мозг от вредных белковых скоплений
Ученые выяснили, что вещество, уровень которого повышается в крови при диабете, помогает белку-«защитнику» обезвреживать опасные скопления в мозге, связанные с болезнью Паркинсона. Другими словами, диабет, возможно, не ускоряет развитие этого заболевания, как считалось ранее, а потенциально может препятствовать ему. Полученные данные помогут лучше понять, как сахарный диабет влияет на скорость развития нейродегенеративных заболеваний, и разработать подходы к профилактике и лечению таких нарушений. Результаты исследования, поддержанного грантом Российского научного фонда (РНФ), опубликованы в журнале Archives of Biochemistry and Biophysics. Гликированный альфаВ-кристаллин предотвращает образование амилоидных агрегатов альфа-синуклеина Источник: Владимир Муронец / НИИ физико-химической биологии имени А.Н. Белозерского МГУ имени М.В. Ломоносова. Болезнь Паркинсона — распространенное нейродегенеративное заболевание, от которого страдает более 8,5 миллионов человек во всем мире. Хотя его пр
Показать еще
- Класс
Китайская программа развития нейроинтерфейсов: в топ за пять лет
В 2025 году в Китае семью ведомствами был принят весьма любопытный документ. Это всего шесть страничек текста, которые описывают то, как, по мнению китайского руководства, Поднебесная к 2030 году станет лидером в области нейротехнологий. Этот документ от 23 июля, который носит название «Видение (мнения, точка зрения — 意见) семи департаментов о внедрении инноваций и развитии индустрии интерфейса мозг-компьютер» и зарегистрирован под номером 164. Перед нами – координированный документ, выработанный в недрах сразу семи ведомств: По мнению китайских коллег, только скоординированная работа этих семи ведомств, может дать нужный результат. Документ начинается с непривычной уже нашему слуху остылки на решения Коммунистической партии: «Руководствуясь мыслью Си Цзиньпина о социализме с китайскими особенностями в новую эпоху, мы будем глубоко внедрять дух 2-го и 3-го пленумов Партии 20 созыва. Необходимо заложить основы нового этапе развития, внедрять новую концепцию развития, продвигать построен
Показать еще
- Класс
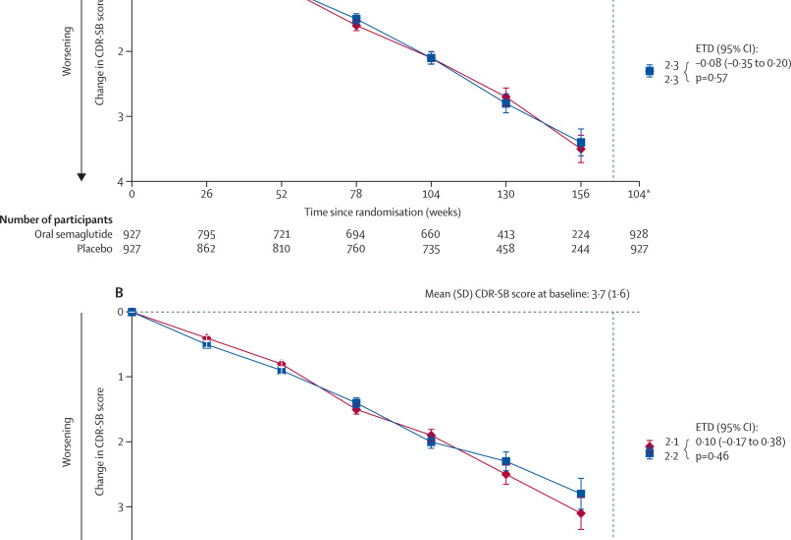
Семаглутид не замедлил развитие болезни Альцгеймера
В работе, опубликованной в журнале The Lancet, не обнаружена польза от применения семаглутида (препарата из класса агонистов рецепторов GLP-1) для борьбы с развитием болезни Альцгеймера. Несмотря на многообещающие данные, выявившие, что у пациентов с диабетом 2-го типа прием агонистов GLP-1 связан с более низким риском развития деменции, прямое вмешательство с помощью семаглутида не привело к ожидаемому эффекту. Изменения показателя CDR-SB в группах приема семаглутида и плацебо. Оценивались как группа без сопутствующих поражений сосудов (график А), так и группа с сопутствующей сосудистой патологией малых сосудов головного мозга (график В). Credit: Jeffrey L Cummings et al. / The Lancet 2026 Семаглутид – это лекарственное средство из группы агонистов рецепторов глюкагоноподобного пептида-1 (GLP-1), которое применяется для снижения уровня сахара в крови при диабете 2 типа, а также при лечении ожирения. Кроме того, наблюдается снижение рисков тяжелых сердечно-сосудистых заболеваний. Наблю
Показать еще
- Класс
Нейронауки в Science и Nature. Выпуск 325: молекулярный механизм работы механочувствительных каналов PIEZO
Ученые из исследовательского института Скриппс (США) под руководством нобелевского лауреата Ардема Патапутяна обнаружили молекулярный механизм, который позволяет ионному каналу PIEZO2 избирательно реагировать на прикосновения. Работа опубликована в журнале Nature. Изоформы PIEZO1 и PIEZO2, иллюстрация из статьи в Nature Известно, что семейство механочувствительных каналов PIEZO включает две изоформы: PIEZO1 реагирует на растяжение мембраны и играет ключевую роль в работе внутренних органов, PIEZO2 отвечает за осязание, ощущение положения тела и, даже, регуляцию дыхания. Белок PIEZO2 формирует механочувствительный ионный канал, который открывается в ответ на механическое воздействие (давление, растяжение, вибрацию) и запускает сигнал, который мозг воспринимает как ощущение. Он был открыт группой Ардема Патапутяна за что ему присудили Нобелевскую премию по физиологии или медицине 2021 года (а также премию Кавли 2020 года – обе совместно с Дэвидом Джулиусом). PIEZO2 также важен для формир
Показать еще
- Класс
загрузка
Показать ещёНапишите, что Вы ищете, и мы постараемся это найти!
Левая колонка
О группе
Материалы портала Neuronovosti.Ru, посвященному новостям нейронаук и нейротехнологий в самом широком смысле слова: от нейросетей до нейрохирургии.
Показать еще
Скрыть информацию